Talouspolitiikka
1 Talouspoliittinen
päätöksenteko
2 Talouspolitiikan
tavoitteet ja keinot
Tavoitteet:
o Bruttokansantuotos
o Inflaatio
o Työttömyysaste
o Vaihtotase
Keinot:
o Finanssipolitiikka.
o Rahapolitiikka.
o Tulopolitiikka.
3 Talouspolitiikan
saavutukset
o Vuoden
1967 devalvaatio
o Hintasäännöstely
o Rahoitusjärjestelmä
4 Kansantalouden
malli ja talouspolitiikka
o Prosentti-instrumentit
o Tasoinstrumentit
o Liikasen sakset
o Tappiofunktion minimointi
o Instrumenttikokoelma
o POLAJKA ohjelmassa...
Harjoitustehtävä
Tietokoneohjelma: POLAJKA
Alkuun o Makroteoria ja Suomen kansantalous o Kansantalouden kurssit o AJK kotisivu
Markkimekanismiin perustuvassa talousjärjestelmässä, jollainen on myös Suomessa, nimenomaan markkinamekanismi antaa useimmat vastaukset kolmeen taloudellisen toiminnan kannalta keskeiseen kysymykseen: Mitä?, Miten? ja Kenelle? tuotetaan. Mutta se ei anna kaikkia vastauksia, ja markkinamekanismin toiminnassa on puutteita. Sen vuoksi tarvitaan talouspolitiikkaa.
Yksityisen kulutuksen osuus bruttokansantuotoksesta on pysynyt vakaasti 55 prosentin tuntumassa. Julkinen kulutus jakautuu kunnan ja valtion kesken yhden suhteessa kahteen. Julkinen kulutus on eräs tärkeimmistä talouspolitiikan instrumenteista, samoin kuin yksityinen pääoman-muodostus on eräs tärkeimmistä suhdannevaihtelun aiheuttajista. Valtion pääomanmuodostuksella oli aikaisemmin suuri merkitys, kun 1960 luvulla rakennettiin tieverkosto. Ulkomaankaupan osuus on jatkuvasti kasvanut, viidenneksestä kolmannekseen. Ulkomaankauppa on osuutensa mukainen leveä kanava kansainvälisten suhdanteiden Suomeen tulolle.
Suhdanteita tasoittavan talouspolitiikan pääinstrumentti on valtion tulo- ja menoarvio. Bujettiesitys annetaan vuosittain syyskuussa eduskunnan hyväksyttäväksi kolmen käsittelyn jälkeen. Tulo- ja menoarvion valmistelee valtiovarainministeriö muiden ministeriöiden esitysten perusteella. Suomessa ministeriöt eivät ole välittömästi tekemisissä tuotannon ja kaupan kanssa. Tuotantoa ja kauppaa budjetti koskettaa vain välillisesti likevaihtoveron ja hyödykeverojen sekä tukipalkkioiden kautta. Budjetin yleinen talouspoliittinen luonne ilmaistaan sen talouspolittisissa yleisperusteluissa. Yleisesti ottaen budjetti joko tukee tai vaimentaa tai on neutraali suhdannekehityksen suhteen.
Toinen varsin itsenäinen talouspolitiikan tekijä on Suomen Pankki, maan keskuspankki. Suomen Pankin johtosäännössä sen tehtäväksi määritellään "pitää maan rahaolot vakavalla ja turvallisella kannalla". Tätä tehtävää Suomen Pankki suorittaa käyttäen mitä moninaisimpia rahamarkkinoiden säätelykeinoja. Niistä tärkeimpiä, viime aikoina yhä enemmän käytettyjä ovat olleet avomarkkinaoperaatiot. Toinen tärkeä Suomen Pankin tehtävä on valuttakurssien määrittäminen ja valuutan vaihdon sääntely. Tätä tehtävää Suomen Pankki suorittaa yhteistoiminnassa maan hallituksen kanssa. Pankki operoi ns. valuuttaputkessa hallituksen määrittämien rajojen sisällä.
Viimeisten 25-30 vuoden aikana on yhä kasvava merkitys, nopean inflaation olosuhteissa ollut tulopolitiikalla, eli työntekijä- ja työnantajajärjestöjen välisillä neuvotteluilla. Niiden kesken sovitaan vuosittain palkankorotuksista ja muista työehdoista, käytännössä usein myös sosiaalipoliittisista toimista. Suomessa työntekijöiden järjestäytyneisyys on hyvin korkea. Neuvotteluita käydään sekä paikallisella että keskusliittotasolla. Rintaman molemmin puolin järjestöjä on useita ja palkkajohtajuudesta taistellaan. Tämä kamppailu johtaa kilpailuun ja jossain määrin suurempiin palkankorotuksiin kuin jos palkat muodostuisivat yhdellä keskitetyllä päätöksellä. Ajoittain syntyy poliittista jännitystä demokraattisesti valitun eduskunnan ja tämän voimakkaan tulopoliittisen järjestelmän välillä. Tulopoliittinen järjestelmä edustaa vain puolta väestöä, eli kansan aktiivista osaa. Eikä sitä ole valittu demokraattisen tasapuolisuuden perusteella.
Periaatteessa talouspolitiikan tavoite on kansalaisten hyvinvoinnin edistäminen, 'taloudellisen nettohyvinvoinnin' maksimointi. Tähän tavoitteeseen tähtää kaikki valtakunnan johdon toiminta. Konkreettisemmalla, operatiivisella tasolla on olemassa neljä muita tärkeämpää tavoitetta: taloudellinen kasvu, työllisyyden ylläpitäminen, inflaation hallitseminen ja kohtuullisen vaihtotasetasapainon ylläpitäminen. Kaikkia näitä taloudellisia tavoitemuuttujia kuvaavat aikasarjat sisältyvät kansantalouden tilinpitoon.
on taloudellisen kasvun tärkein mittari. Vuodesta 1961 bruttokansantuotos on kasvanut 3.7 prosenttia vuodessa. Jos mitataan eksponenttitrendillä, kasvu on ollut 3.8 prosenttia vuodessa viimeisten 25 vuoden aikana ja 3.6 prosenttia viimeisten 10 vuoden aikana. Mutta viimeksi kuluneen neljännesvuosisadan aikana voidaan havaita 5 selvää suhdanneaaltoa. Laskien aallonpohjasta aallonpohjaan ne sattuvat vuosille 61-67, 67-71, 71-77, 77-81 ja 81- nykyaikaan. Poikkeuksellisen korkeat kasvuprosentit ovat olleet vuosina 69 10 prosenttia, 70 8 prosenttia ja 79 7 prosenttia. Resurssien korkea käyttöaste 70-luvun alussa johti keskusteluun luonnonsuojelusta, jonka yhteydessä ihannekasvuksi mainittiin jopa pyöreä nolla. Öljykriisi muutti ihanteen todellisuudeksi nopeammin kuin kukaan osasi odottaa. Vuosina 76 ja 77 taloudellinen kasvu oli kahtena vuonna peräkkäin kokonaisluvun tarkkuudella nolla. Mutta juuri kun ennusteiden laatijat taas tottuivat ajatukseen kahden prosentin kasvu-urasta, syntyi voimakas kasvupiikki vuosina 79-80 ja sen jälkeen vakaa 60-luvun kehitystä muistuttava 3 prosentin trendi, joka yhä jatkuu ja on jo 3-4 kertaa pettänyt ennusteiden laatijat.
mitataan joko kuluttajahinnoilla tai bruttokansantuotoksen deflaattorilla. Tässä käytetään jälkimmäistä muuttujaa, joka kattaa 100 prosenttia hyödykkeistä, kun taas kuluttajahintaindeksi kattaa ainoastaan 55 prosenttia. Kuten tunnettua, länsimaissa on viimeisten 20-30 vuoden aikana nopean teknisen kehityksen rinnalla, teollisen tuotantokoneiston uusimisen ja maatalouden mekanisoinnin rinnalla koettu voimakas inflaatio. Suomessa sekä reaalinen kasvu että inflaatio ovat olleet OECD-maiden keskitason yläpuolella. OECD-maat puolestaan kattavat lähes 80 prosenttia Suomen ulkomaankaupasta. Vuodesta 1961 keskimääräinen inflaatiovauhti on ollut 8.6 prosenttia vuodessa ja laskien viimeisten 25 ja 10 vuoden eksponenttitrendeistä se on ollut 9.7 ja 8.5 prosenttia. Korkeimmat inflaatioprosentit (23 prosenttia vuonna 74) ovat osuneet välittömästi öljykriisin jälkeisiin vuosiin. Vuonna 85 koettiin selvä käänne inflaatiokehityksessä. Vielä ei ole pätevää analyysia tämän käänteen syistä, samoin kuin ei kukaan pysty vakuuttavin argumentein perustelemaan sen pituutta.
voidaan pitää talouspolitiikan vakavimpana haasteena, koska se merkitsee todellista tragediaa niille yksilöille, joita se kohtaa. Tämän vuoksi työttömyyden poistaminen on se talouspolitiikan tavoite, joka eniten askarruttaa politiittisia päätöksentekijöitä. Vaikka Suomessa perustuslaki toteaa, että 'kansa-laisen työvoima on valtiovallan erityisessä suojeluksessa', yhteiskunta ei ole onnistunut tätä vitsausta poistamaan. Tilastollisesti tarkastellen näyttää jopa käyneen päinvastoin: Perustuslakiin tämä lisäys tehtiin vuonna 72, mutta edessä päin olivat silloin suuren työttömyyden vuodet. Korkein työttömyysluku oli 7.5 prosenttia työvoimasta vuonna 1978. Nykyinen kasvutrendi on pysäyttänyt työttömyyden kasvun ja viimeisten kahden vuoden aikana voidaan havaita työttömyyden supistuminen. Sen lisäksi on samanaikaista työvoiman puutetta eräillä tuotannonaloilla.
prosentteina bruttokansantuotoksesta on eräänlainen kuumemittari, kansantalouden terveydentilan osoitin. Kuten jo edellä todettiin, suhdannenousut ja -laskut liittyvät ulkomaan- kauppaan ja sen suureen osuuteen kokonaiskysynnästä ja kokonaistarjonnasta. Sen näyttää historia. Öljykriisi nosti ensin raakaöljyn hinnan, sen jälkeen siitä saatavien jalosteiden hinnan ja aiheutti suuren vaihtotasevajeen: 8 prosenttia bruttokansantuotoksesta vuosina 74 ja 75. Sen jälkeen seurasi kysynnän alijäämä vuosina 76 ja 77. Kysynnän supistuminen johti työvoiman kysynnän supistumiseen, työttömyys kasvoi vuosina 77 ja 78. Aluksi alikysyntä johtaa varastojen täyttymiseen, mutta sitä ei voi jatkua kauan. Ennemmin tai myöhemmin työvoimaa on vähennettävä. Pieni vaihtotasevaje 2-3 prosenttia on luonnollinen jo teknisistä syistä, sen vuoksi että vienti lasketaan fob arvoon ja tuonti cif arvoon.
| Mitä keinoja talouspolitiikassa sitten käytetään? |
Yleisesti ottaen: finanssipolitiikkaa, rahapolitiikkaa ja tulopolitiikkaa kuten otsikon 'Kuka päättää talouspolitiikasta?' alla todettiin. Mutta näissä kolmessa talouspolitiikan suuntauksessa käytettäviä konkreettisia toimenpiteitä on paikallaan käsitellä yksityiskohtaisemminkin.
Finanssipolitiikka. Suomessa talouspolitiikan operatiivinen johto on hallituksen käsissä. Finanssipolitiikassa käytetään kahta pääinstrumenttia: julkisia menoja ja verotusta. Ne toimivat saksien tavoin, leikkaavat kahdella terällä. Veroissa on kaksi päätyyppiä: välilliset, jotka perustuvat tavaravaihtoon ja hyödykeverot (polttoaineet, sokeri, rehut, autot jne) ja välittömät tuloverot. Veroilla rahoitetaan 90 prosenttia julkisista menoista, loput rahoitetaan luotonotolla. Jatkuvaa polemiikkia käydään siitä, miten verotaakka pitäisi jakaa välittömien ja välillisten verojen kesken. Niiden osuudet ovat suunnilleen samansuuruiset, kumpikin noin 15 prosenttia bruttokansantuotoksesta.
Valtion tuloverotuksessa, jolla kerätään noin puolet tuloverojen tuotosta, sovelletaan progressiivista asteikkoa. Inflaation vallitessa tämä toimii automaattisesti siten, että kaikki veronmaksajat siirtyvät progres-sioasteikolla ylöspäin. Tämän takia aktiivista politiikkaa ovat vuosittaiset progressioasteikkojen korjaukset. Jos kokonaiskysyntää halutaan jarruttaa, korjausta ei suoriteta täysimääräisenä, ja valtion tulot kasvavat nopeammin. Jos kysyntää on kasvatettava, korjaus suoritetaan täysimääräisenä tai suurempana. Silloin kuluttajille jää suurempi tulo kulutukseen käytettäväksi. Kunnan vero on toinen puoli tuloverosta. Se maksetaan tasaprosenttina tulosta, mutta prosentti vaihtelee paikallisten tarpeiden mukaan.
Liikevaihtovero ja hyödykeverot kerätään tasa-asteikoilla ja ne ovat suorassa suhteessa tuotannon kokonaismäärään. Niitä muutetaan varsin harvoin, viimeksi vuonna 83, jolloin niitä korotettiin kaksi prosenttiyksikköä 16 prosenttiin liikevaihdosta.
Finanssipolitiikan toinen haara, julkinen varojen käyttö muodostuu julkisesta kulutuksesta (kolmannes valtion ja kaksi kolmannesta kuntien) ja tulonsiirroista. Nämä menot ovat jatkuvasti kasvaneet ja käsittävät nykyään yli puolet valtion menoista. Paikallishallinnon menoista suurimman osan muodostavat ala- ja keskiasteen koulutus sekä terveydenhoito. Siirrot valtiolta kunnille käsittävät 40 prosenttia kaikista menoista ja takaavat valtiolle mahdollisuuden johtaa talouspolitiikkaa tehokkaasti tälläkin suunnalla. Valtio huolehtii välittömästi vain sellaisista toiminnoista kuin yleinen hallinto, maanpuolustus, oikeuslaitos ja liikenneinfrastruktuuri. Kaikissa näissä suhteissa on olemassa mahdollisuus tehokkaasti säädellä kokonaiskysyntää ja kokonaistarjontaa.
Rahapolitiikka. Kaksi peruseroa finanssipolitiikan ja rahapolitiikan välillä ovat: päätöksenteon nopeus ja politiikan teho. Finanssipolitiikka on tehokkaampaa, mutta päätöksenteko tapahtuu pitkän prosessin kuluessa: monien puoluepolittisten eturistiriitojen kompromissina hallitus saa toimilleen eduskunnan hyväksymisen kolmen käsittelyn jälkeen. Joskus talouspoliittisia toimenpiteitä vaativa tilanne on jo ohi, kun toimenpiteitä koskeva päätös saadaan valmiiksi. On olemassa mahdollisuus, että toimenpiteet, joilla kysyntää kasvatetaan on päätetty, kun suhdannekäänne onkin jo tapahtunut. Siinä tapauksessa uudet toimenpiteet vain vahvistavat suhdannetta, kun jarrutus olisi jo paikallaan. Rahapolitiikassa tilanne on toinen: päätökset tehdään nopeasti, ääritapauksesssa keskuspankin johtajien lounaalla. Mutta niiden teho ei ole niin suuri kuin finanssipolitiikan teho. Rahapolitiikkaa verrataan köyteen. Sitä voidaan kiristää, mutta sillä ei voida työntää. Jos kansantalous on laskusuhdanteessa, rahapolitiikalla ei voida tilannetta korjata. Lisää luottoa tai halvemmalla ei auta, kun yrittäjien odotukset ovat pessimistisiä. Korkeasuhdanteessa luottoehtojen kiristäminen kysynnän supistamiseksi onnistuu paremmin.
Tulopolitiikka. Kuten edellä jo todettiin työmarkkinajärjestöjen harjoittamalla tulopolitiikalla on viime aikoina ollut erittäin suuri merkitys. Se on ohjannut taloudellista kehitystä tehokkaammin kuin ehkä muut talouspolitiikan haarat yhteensä. Koska palkka muodostaa noin 80 prosenttia kaikista tuotantokustannuksista, tämä politiikka vaikuttaa suoraan paitsi kuluttajien tuloihin, myös hintatasoon. Palkankorotuksesta toteutuu reaalisena vain se osa, joka vastaa työn teknistä tuottavuuden nousua, yleensä 3-4 prosenttia vuodessa. Vuotuiset palkankorotukset ovat kuitenkin olleet keskimäärin 12 prosenttia viimeisten 25 vuoden aikana. Erotus toteutuu inflaationa. Miksi niin suuret palkankorotukset, jos ne eivät johda vastaaviin ostovoiman korotuksiin? Eräs syy on työmarkkinoiden molempien rintamien oligopolistinen rakenne. Jos osa rintamasta onnistuu saavuttamaan korkeamman korotuksen kuin muut, tämän rintaman jäsenet todellakin saavat suuremman reaalisen korotuksen kuin muut, sillä hinnathan nousevat kaikille yhtä paljon.
Kaikkein vakavimmat seuraukset ylisuurista palkankorotuksista ovat ulkomaankaupalle. Kun kotimaisten tavaroiden hinnat nousevat enemmän kuin ulkomaisten, viennin ulkomainen kilpailukyky alenee ja tuontitavaroiden kilpailukyky vastaavasti paranee. Taas syntyy kaksiteräiset sakset. Vakava ulkomaankaupan vaje voi syntyä vuodessa tai kahdessa. Sen poistaminen voi sen sijaan vaatia varsin ankaria ja pitkäaikaisia toimenpiteitä.
Talouspolitiikan päätöksentekijät Suomessa uneksivat joskus kotoperäisen suhdannenousun aikaansaamisesta. Ovatko he koskaan nähneet unel-mansa toteutuneena? Mikään hallitus, joka johtaa maata korkeasuhdanteen vallitessa ei unohda laajasti esitellä ansioitaan. Onko tämä perusteltua? Yleisesti ottaen talouspolitiikan tulokset ovat olleet varsin laihoja. Mutta toisaalta tämä on vain hyvä. Juuri tämä osoittaa, että markkinamekanismi toimii tyydyttävästi. Toisaalta ei ole realistista odottaa, että olisi mahdollista aikaansaada tai ylläpitää omaa erillistä dynaamista polkua niin suuren ulkomaankauppaosuuden, kolmannes bruttokansantuotoksesta, vallitessa. Kuitenkin eräissä vaikeissa tilanteissa talouspolitiikalla on epäilemättä pystytty normalisoimaan kriisitilanne.
Vuoden 1967 devalvaatio. Kuusikymmenluvun puolivälistä lähtien inflaatio, jonka eräs syy oli monien liiketoimien laaja indeksi- sidonnaisuus, johti kansantalouden tilanteeseen, jossa sen kansainvälinen maksukyky putosi käytännöllisesti katsoen nollaan. Maa oli kuin ison talon poika: 'vaikka olis kuinka ison talon poika, mutta kun ei ole rahaa niin ei ole rahaa'. Markka devalvoitiin yli kolmekymmentä prosenttia, indeksisidonnaisuus lopetettiin kokonaan ja sovittiin tuottavuuden nousua vastaavista palkankorotuksista. Seuraukset näkyvät selvästi liitteen kuvioissa. Kolmenkymmenenviiden prosentin devalvaatio merkitsee vastaavaa tuontihintojen nousua. Tuonnin suuri osuus kokonais-tarjonnasta merkitsee yleisen hintatason nousua (kuten kuviosta näkyy) vaikka sisäiset kustannusten nosut jäivät kohtuullisista palkankorotuksista johtuen vähäisiksi. Koska vientitavaroiden tuotantokustannukset riippuvat vain vähän tuontihinnoista, kilpailukyky kasvoi merkittävästi. Vienti, eräs kokonaiskysynnän merkittävimmistä komponenteista, alkoi kasvaa, kansantulo kasvoi, tuotanto kasvoi ja työttömyys aleni. Tietenkään tämä ei tapahtunut silmänräpäyksessä, vaan kahden kolmen vuoden aikana. Talouspolitiikan todellinen riemuvoitto!
Hintasäännöstelyn purkaminen. Pitkään sodan jälkeen harjoitettiin monien, erityisesti välttämättömyyshyödykkeiden hintojen säännöstelyä. Kauppa- ja teollisuusministeriön erityisosasto on valvonut hintoja kahdessa kategoriassa: eräät hinnat ministeriö vahvisti, toiset voi yritys päättää, mutta niiden oli pystyttävä tarkoin perustelemaan korotus-vaatimuksensa. Kuitenkin suurin osa hinnoista määräytyi markkinoilla. Lähtien 88-10-01 hintasäännöstely on kokonaan lopetettu. Viimeksi säännöstelyyn ovat kuuluneet bensiini, vuokra, ja joitakin muita. Hintavalvontaosaston henkilökunta on uudelleenkoulutettu kilpailuvalvontatehtäviin.
Rahoitusjärjestelmän uudistus. Korkean inflaatiovauhdin vallitessa antolainauskorko ei tee säätelytehtäväänsä: varojen ohjaamista tuottoisimpiin investointeihin, sillä jokainen investointi antoi (korkean inflaation vallitessa) luoton takaisin maksamiseksi riittävän tuoton. Viime vuosikymmenen puolivälin jälkeen tapahtui suuri muutos. Kun inflaatio nykyään on vain 3-4 prosenttia ja luottokorko noin 9 prosenttia, on korosta tullut todellinen kustannus. Se merkitsee, että investointisuunnitelma toteutetaan vain, jos sen tuotto ylittää tämän rajan. Tällä uudistuksella on ollut myös toinen seuraus. Aikaisemmin yritykset rahoittivat toimintaansa luotoilla, mutta nyt yhä enemmän turvaudutaan omarahoitukseen osakepääomalla. Helsingin arvopaperipörssi moninkertaisti liikevaihtonsa kahden kolmen vuoden aikana 80-luvun lopulla.
Kokonaistaloudellinen malli tarjoaa erinomaisen temmellyskentän muutamien makrotason talouspoliittisten toimenpiteiden vaikutusten selvittelyyn. Vaihtoehtoisen ennusteen laatiminen voi olla perusteltua nimenomaan siitä syystä, että ajatellaan jollekin instrumenttimuuttujalle vaihtoehtoista arvoa eli että tehdään jokin talouspoliittinen toimenpide. Perusennuste voi olla laadittu olettaen esim julkisen kulutuksen kasvuksi 3 prosenttia. Vaihtoehtoinen ennuste voidaan laatia sen olettamuksen varaan, että julkisen kulutuksen kasvu olisikin 3 asemesta 4 prosenttia. Jos mitään muuta olettamusta ei muuteta, on selvää, että kaikki vaihtoehtoisen ennusteen poikkeamat perusennusteesta johtuvat tästä tärkeän talouspolitiittisen instrumentin uudesta arvosta. On huomattava, että mallin kaikkien endogeenisten muuttujien, niiden joukossa tietenkin myös tavoitemuuttujien, arvot muuttuvat.
AJKA mallissa ovat luontevan tuntuisia talouspolitiikan instrumentteja ainakin seuraavat, osittain jo edellisessä luvussa mainitut:
WRNI Sopimuspalkkaindeksi RGBC Elinkeinotuki RGPC Tulonsiirrot yksityisille XGSP Vientihinta MGSP Tuontihinta CEGF Julkinen kulutus QGEF OECD maiden bruttokansantuotos
INVF Varastojen lisäys TIAR Välillisten verojen veroaste TDPR Veroaste, yksityinen sektori
Kuten jo edellisessä luvussa todettiin, eräät näistä (XGSP, MGSP, QGEF ja INVF) eivät ole todellisuudessa talouspolitiikan instrumentteja eli keskitetysti talouspolitiikan päättäjien käytettävissä, mutta on hyvin opettavaista tutkia myös niissä tehtävien muutosten vaikutuksia kansantalouteen.
Instrumenttien vaikutuksiin kannattaa tutustua ensin yksi kerraltaan. Jos muutetaan kahta tai useampaa instrumenttia samalla kertaa, jää epäselväksi millä instrumentilla muutos tavoitearvossa saadaan aikaan. Sinänsä kahden tai useamman instrumentin käyttö on hyvin tavallista talouspolitiikassa. Ja siinä juuri mallilla suoritetut simuloinnit näyttävät leijonankyntensä.
Tyypillinen selvästi kvantifioitavissa oleva esimerkki on syksyn 1989 tulo- ja menoarvioesitykseen liittynyt valtiovarain-ministeriön suunnittelema talouspoliittinen toimenpidepaketti siltä varalta, että työmarkkinajärjestöt eivät olisi päässeet keskitettyyn palkkaratkaisuun, vaan ratkaisu olisi hajautunut (ja samalla ehkä muodostunut vieläkin inflatorisemmaksi kuin keskitetty sopimus). Tarkoitus oli imeä kansantaloudesta pois toivottua suuremman palkankorotuksen antama ylimääräinen ostovoima. Tähän aiottiin käyttää edellä kuvattuja finanssipolitiikan kaksiteräisiä sakseja.
Jos 'ylimääräinen' palkankorotus olisi esim 2 prosenttiyksikköä, se merkitsisi palkansaajien tulojen kasvua noin 5 mrd mk (AJKA mallin muuttuja WAAC palkat noin 250 mrd mk, ks. Liite 4).
Julkisen kulutuksen kasvua piti pienentää yhdellä prosentilla eli 3 prosentista 2 prosenttiin. Tämä merkitsee rahassa noin 1 mrd mk (julkinen kulutus vuonna 88 oli 104 mrd mk). Saksien toinen terä oli välitön verotus. Kansalaisten verokirjoihin merkittiin jo lisäprosentti 2 siltä varalta, että suunnitelma jouduttaisiin toteuttamaan. Välittömien verojen tuotto vuonna 88 oli 82 mrd mk, ja kun tämä saavutettiin vähän alle 20 prosentin veroasteella olisi jo ykkösenkin lisäys veroasteeseen tuonut valtion kassaan 4 mrd mk. Näin näillä toimenpiteillä olisi neutraloitu liiaksi katsottu ostovoiman lisäys.
On eri asia, olisiko tällä toimenpiteellä hillitty inflaatiota, sillä hintojen nousuhan olisi joka tapauksessa toteutunut palkkakustannusten nousun kautta. Epäilemättä kulutuskysynnän kasvun jääminen kiristyneen verotuksen takia pienemmäksi olisi jonkin verran vetänyt inflaatiopainetta alas, mutta tuskin tarpeeksi. Saksien käytön uhka teki tehtävänsä, kun saatiin aikaan keskitetty sopimus. Mutta sitä ennen ennätettiin jo monet kerrat AJKA mallilla todeta vaihtoehtoisen ratkaisun seuraukset tuotantoon, työllisyyteen, inflaatioon ja vaihtotaseeseen. [Tähän lukuun liittyvissä harjoitustehtävissä voit helposti rekonstruoida syksyn 1989 tilanteen.]
Vieläkin korkeamman tason talouspoliittisia tavoitteenasetteluita voidaan kokonaistaloudellisella mallilla jäljitellä realistisen tuntuisesti. Talouspolitiikan perimmäisenä tavoitteena on kansalaisten hyvinvoinnin kohottaminen, ei vain yhden tai kahden tavoitemuuttujan arvon optimointi. Kokonaistaloudellista mallia käyttäen voidaan muodostaa hyvinvointifunktio, tai oikeastaan sen 'käänteisfunktio' tappiofunktio ja pyrkiä sen jälkeen talouspolitiikkaa harjoittamalla minimoimaan tämän tappiofunktion arvoa.
| Kuulostaa utopistiselta. Mitenkä se voisi tapahtua? |
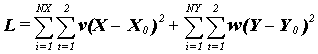
Aivan samaan tapaan kuin etsittäessä pienintä neliösummaa luvussa 4 regressioanalyysin yhteydessä. AJKA mallin osalta se on toteutettu kahdessa tietokoneohjelmassa POLAJKA ja GPOLAJKA. Molemmissa on sama periaate, mutta jälkimmäinen on toteutettu käyttäen mahdollisimman paljon hyväksi grafiikkaa. Tappiofunktio muodostuu tavoitemuuttujille asetettujen tavoitteiden ja samoille tavoitemuuttujille mallilla laskettujen arvojen erotuksista. Tai ei pelkistä erotuksista vaan erotusten neliöistä. Neliöiminen näet takaa sen, että poikkeamista häipyvät minus merkit. Ja muutenkin ... minimiä tai maksimia voidaan etsiä esim paraabelista (eräs neliöfunktio) ei lineaarisesta funktiosta.
Muuttujien tärkeysjärjestystä voidaan muuttaa ja korostaaa sujauttamalla vielä väliin painokertoimia. Mitä tärkeämpänä tavoitteena halutaan esim bruttokansantuotoksen kasvua pitää, sitä suurempi luku sen painoksi annetaan. Näin kaikki ne ratkaisut, joissa bruttokansantuotos saadaan lähelle tavoitetta antavat tappiofunktioon mahdollisimman pienen lisän verrattuna muihin tavoitteisiin. Muiden tavoitemuuttujien poikkeama tavoitearvoista voi olla suurikin, mutta kun niiden painokerroin on pieni, niin niiden lisä tappiofunktioon jää vähäiseksi.
Tappiofunktion painot voivat olla erilaistet riippuen siitä ylittääkö vai alittaako tavoitemuuttuja tavoiä tavoitearvon, ei se niin paha asia ole. Mutta jos se jää tavoitearvona alapuolelle, se on paha ja siis tavoitearvon alituksista sakotetaan suurella painokertoimella. Inflaation kanssa asia on päinvastoin. Jos tavoite ylitetään, se on paha. Mutta jos tavoite alitetaan, se on hyvä asia. Vielä voidaan ajatella, että instrumenttien käytöstäkin sakotetaan panemalla painokerroin instrumentin poikkeamalle alkuperäisestä arvostaan.
Nämä tappiofunktion muodostamisen periaatteet voidaan helposti pukea matemaattiseen muotoon ja istuttaa tietokoneohjelmaan, joka sitten ryhtyy pyörittämään mallia tappiofunktion ehdoilla ja alaisuudessa.
X = käyttäjän antama instrumentin arvo X0 = instrumentin alkuarvo Y = mallin antama tavoitemuuttujan arvo Y0 = tavoitemuuttujan tavoitearvo v = instrumentin paino w = tavoitemuuttujan paino
Tavoitteet. tuotannon kasvu, inflaation ja työttömyyden kurissa pitäminen ja vaihtotaseen tasapaino. Tavoitemuuttujilla tavoitearvot. Tavoitteiden välillä ristiriita. Tavoitteet yhdistetään tappiofunktiolla : lasketaan yhteen mallin laskemien arvojen poikkeamat tavoitearvoista (korotettuina toiseen potenssiin ja kerrottuina painokertoimilla). Mitä pienemmät poikkeamat sitä pienempi tappio.
Instrumentit. Käytettävissäsi on 10 talouspolitiikan in- strumenttia, joilla voit ohjata kansantaloutta kohti tavoitteita.
1. Julkinen kulutus on noin viidennes kansantalouden koko- naiskysynnästä, tuotannon ja työllisyyden liikkeellepanevasta voimasta. Julkisen kulutuksen lisääminen lisää tuotantoa ja työllisyyttä, mutta saattaa heikentää vaihtotasetasapainoa ja lisätä inflaatiota sekä syrjäyttää yksityistä kulutusta.
2. Elikeinotuki vaikuttaa samaan tapaan kuin julkinen kulutus, mutta lopullisen päätöksen sen käytöstä tekee yrittäjä.
3. Julkinen pääomanmuodostus on nykyään varsin pieni osa koko- naiskysynnästä. Se on kuitenkin periaatteessa tärkeä talouspolitiikan väline.
4. Tulonsiirrot yksityisille ovat jatkuvasti kasvaneet ja käsittävät nykyään yli puolet valtion budjetista. Tulonsiirrot lisäävät niiden saajien käytettävissä olevaa tuloa. Kokonaiskysyntää koskevan päätöksen tulonsiirtojen käytöstä tekee kuluttaja.
5. Vientihinnat eivät todellisuudessa ole talouspolitiikan tekijöiden päätettävissä. Ne määräytyvät maailmanmarkkinoilla ja suomalaiset jotuvat vain ratkaisemaan kannattaako niillä viedä vai ei. Vaikutus vientiin, kokonaiskysyntään, vaihtotaseeseen.
6. Tupoprosentti vaikuttaa ennen muuta inflaatioon, ja sitä kautta myös Suomen kilpailukykyyn maailmanmarkkinoilla. Eräs tärkeimmistä talouspolitiikan instrumenteista. Työmarkkinajärjestöt päättävät.
7. Maailmanmarkkinoiden ostovoima (OECD-maiden bruttokansan- tuotoksen kasvu) vaikuttaa voimakkasti vientiin ja viennin kautta kokonaiskysyntään. Todellisuudessa tämäkään ei tietenkään ole kenenkään päätettävissä.
8. Varastoinvestoinnit on kokonaiskysynnän ja kokonaistarjonnan välinen joustotekijä. Jos kysyntä ei vedä, voi tuotannon kasvu jatkua lyhyen aikaa varastoon. Jos taas kysynnässä tapahtuu nopea kasvu se pienentää ensin varastoja. Varastoinvestoinnit ei ole todellinen politiikan instrumentti.
9. Välilliset verot on tärkeä talouspolitiikan väline. Pienikin muutos vaikuttaa voimakkasti tuotannon ja tulojen suuruuteen.
10. Välittömät verot maksetaan kuluttajan tuloista. Niiden kas- vattaminen pienentää kuluttajan käytettävissä olevaa tuloa ja sitä kautta kulutuskysyntää, tuotantoa ja työllisyyttä. Verotuksen keventäminen vaikuttaa päinvastaiseen suuntaan. Vaikutukset inflaatioon ja vaihtotaseen tasapainoon saattavat olla tuotantoon ja työllisyyteen verrattuina päinvastaiset.
Voit käyttää kaikkia instrumentteja. Ne ovat yksi kerrallaan näkyvissä, jolloin voit lisätä tai vähentää niiden arvoa kahtena vuonna.
Tarkkaile taloustimanttien mustaa pintaa ja ruudun oikeassa alakulmassa olevia lukuja. Niistä näet kuinka kauas Sinun talouspolitiikkasi vie tavoitemuuttujien arvot tavoitearvoista. Suunnittele instrumenttien käyttö sen mukaan.
Alkuun o Makroteoria ja Suomen kansantalous o Kansantalouden kurssit o AJK kotisivu
Asko Korpela, kansantaloustieteen lehtori, Helsingin kauppakorkeakoulu
Asko Korpela 971201 (970414) - Asko.Korpela@kolumbus.fi (palaute) [ccc]