Harjoitus 1 o 2 o 3a o 3b o 4a o 4b
1. Verifioi (18.29) käyttäen Cramerin sääntöä.
Vastaus:
Cramerin säännön mukaan tarvitaan determinantit
![]()
silloin
2. Totea, että saadaan sama m1 ja n1 suhde käytetäänpä ensimmäistä tai toista yhtälöä yhtälöryhmässä (18.34)
Vastaus:
Asetelman (18.34) yhtälöistä ensimmäinen antaa

Laventamalla luvulla - 4/9 saadaan
Toinen yhtälö antaa vstaavasti

Laventamalla lausekkeella - 2/3 (1 - i) ja ottaen huomioon, että
(1 + i)(1 - i) = 1 - i2 = 2
saamme jälleen
3. Selvitä aikaurat (yleiset ratkaisut) muuttujille p* ja U, jos
a) p = 1/4 - U + p* b)
p = 1/6 - 2 U + 1/3 p*
p*' = 1/2 (p - p*)
p*' = 1/4 (p - p*)
U' = - (m - p) U'
= 1/2 (m - p)
Vastaukset:
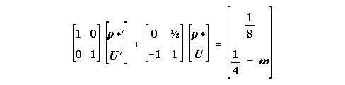
a) Merkiten a - T = 1/4, b = 1, h = 1, j = 1/2 ja k = 1 yhtälöryhmä (18.28') saadaan muotoon

Asettaen p*' = U' = 0 saadaan erityisratkaisut
Koska redusoidusta yhtälöstä (18.30) saadaan nyt

Karakteristinen yhtälö on r2 + 2 r + 1 = 0. Se antaa kertautuvan reaalijuuren
r = r1 = r2 = - 1
Käyttäen tätä arvoa edellä olevassa matriisissa saadaan suhde
m = n
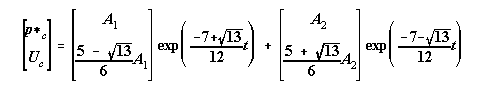
Tällöin komplementtifunktiot ovat

Nämä yhdessä erityisratkaisujen kanssa antavat yleiset ratkaisut.
b) Merkiten a - T = 1/6, b = 2, h = 1/3, j = 1/4 ja k = 1/2 yhtälöryhmä (18.28') saadaan muotoon

Asettaen p*' = U' = 0 saadaan erityisratkaisut

Koska redusoidusta yhtälöstä (18.30) saadaan nyt

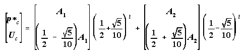
Karakteristinen yhtälö on r2 + 7/6 r + 1/4 = 0. Se antaa erisuuret reaalijuuret
Käyttäen näitä vuoron perään edellä olevassa matriisissa saadaan
Tällöin komplementtifunktiot ovat

Nämä yhdessä erityisratkaisujen kanssa antavat yleiset ratkaisut.
4. Selvitä aikaurat (yleiset ratkaisut) muuttujille p* ja U, jos
a) p = 1/2 - 3 U + 1/2 p* b)
p = 1/4 - 4 U + p*
p*t+1 - p*t = 1/4 (p - p*)
p*t+1 - p*t = 1/4 (p - p*)
Ut+1 - Ut = - (m - pt+1)
Ut+1
- Ut = - (m - pt+1)
Vastaukset:
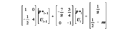
a) Merkiten a - T = 1/2, b = 3, h = 1/2, j = 1/4 ja k = 1 yhtälöryhmä (18.36) saadaan muotoon

Asettaen p* = p*t = p*t+1 = Ut = Ut+1 saadaan erityisratkaisut

Koska redusoidusta yhtälöstä (18.38) saadaan nyt

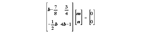
Karakteristinen yhtälö on 4 b2 - 33/8 b + 7/8 = 0. Se antaa erisuuret reaalijuuret
Käyttäen näitä arvoja edellä olevassa matriisissa saadaan suhde
Tällöin komplementtifunktiot ovat

Nämä yhdessä erityisratkaisujen kanssa antavat yleiset ratkaisut.
b) Merkiten a - T = 1/4, b = 4, h = 1, j = 1/4 ja k = 1 yhtälöryhmä (18.36) saadaan muotoon

Asettaen * = p*t = p*t+1 = Ut = Ut+1 saadaan erityisratkaisut

Koska redusoidusta yhtälöstä (18.38) saadaan nyt

Karakteristinen yhtälö on 5 b2 - 5 b + 1 = 0. Se antaa erisuuret reaalijuuret
Käyttäen näitä arvoja edellä olevassa matriisissa saadaan suhteet
Tällöin komplementtifunktiot ovat

Nämä yhdessä erityisratkaisujen kanssa antavat yleiset ratkaisut.