Tehtävät: 1. o 2. o 3. o 4. - [ccc]
1. a) Osoita, että (17.38) (s 283) voidaan kirjoittaa lyhyemmin muotoon
( delta I - A) beta = µ
b) Mitkä näistä symbooleista ovat
a) skalaareja b) vektoreita c) matriiseja
c) Kirjoita betan:n ratkaisu olettaen, että ( delta I - A) on nonsingulaarinen
Vastaus:
Ratkaisun ydin on huomata, että ...
a)
Loppu käy helposti tekstin mukaan, eli

( delta I - A) beta = µ
b) skalaarit: delta vektorit: beta , µ matriisit: I, A
c) beta = (delta I - A)-1 µ
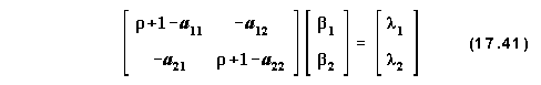
2. a) Osoita, että (17.41) (s 286) voidaan kirjoittaa lyhyemmin muotoon
( ro I + I - A) beta = lambda
b) Mitkä näistä symbooleista ovat a) skalaareja b) vektoreita c) matriiseja
c) Kirjoita beta:n ratkaisu olettaen, että (ro I + I - A) on nonsingulaarinen
Vastaus:

b) skalaarit: ro vektorit: beta, lambda, matriisit: I, A
c) beta = (ro I + I - A)-1 lambda
3.
Olettaen
ja
epäjatkuvan
ajan tapauksessa (17.36) (s. 2)
a) Etsi erityisratkaisut
b) Etsi komplementtifunktiot
c) Määritä aikaura, jos oletetaan
ja
Vastaus:
a) Kokeillaan:
.
Saadaan (17.38') mukaan

joten

b) Yhtälöstä
Saadaan b1 = 6/10 b2 = - 1/10
edelleen m1 = 4 A1 n1 = 3 A1 m2 = A2 n2 = - A2
joten

c) Yhdistäen xp ja xc ja käyttäen alkuehdot saadaan
A1 = 1 ja A2 = - 1
joten

Etsi
a) erityisratkaisut
b) komplementtifunktiot
c) aikaurat olettaen x1(0) = 53/6 x2(0)
= 25/6
Vastaus:
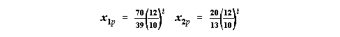
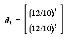
a) Koeratkaisu:
Saadaan (17.41') mukaan
beta1 = 17/6, beta2 = 19/6
joten

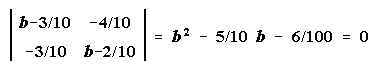
b) Yhtälöstä
saadaan r1 = -4/10 r2 = -11/10
edelleen m1 = 4 A1 n1 = 3 A1 m2 = A2 n2 = - A2
joten

c) Yhdistäen xp ja xc ja käyttäen alkuehdot saadaan
A1 = 1 ja A2 = 2
joten
Asko Korpela 971204 (971203) o Asko.Korpela@kolumbus.fi (palaute) [ccc] o AJK kotisivu