Ratkaise
1.
Alkuehdot: x0 = 10 y0 = 9
Vastaus:
Erityisratkaisu:
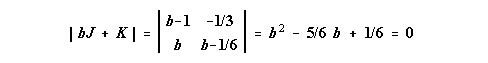
Käytä lauseketta (17.22'):

Tässä:
Erityisratkaisu on silloin
Cramer: = -6; 1 = -42; 2 = -30 antaa saman tuloksen.
Komplementtifunktiot:Sijoittaen ajankohdan 0 arvot yhtälöiden
homogeenisiin versioihin saat komplementtifunktiot, joista karakteristiset
juuret käyttäen lauseketta (17.26'):
b1 = 3 b2 = - 2
Merkiten tämän jälkeen:
xt = m bt ja yt = n bt
jolloin: xt+1 = m bt+1 ja yt+1 = n bt+1
ja komplementtifunktiot ovat:
m bt+1 + m bt + 2 n bt = 0
n bt+1 + 2 m bt - 2 n bt = 0
Sijoittamalla tähän vuoron perään juuret b1 ja b2 ja supistaen pois tekijän bt saadaan muuttujien mi ja ni suhteet.
b1 = 3:m1 3 + m1 + 2 n1 = 0
n1 3 + 2 m1 - 2 n1 = 0
2 m1 = - n1 m1 = - n1/2
b2 = - 2:- m2 2 + m2 + 2 n2 = 0
- n2 2 + 2 m2 - 2 n2 = 0
m2 = 2 n2
Merkitsemällä sopivasti esim n1 ja n2 yhtälöihin voidaan 'istuttaa' Ai arvot. Saadaan:
m1 = - A1, n1 = 2 A1, m2 = 2 A2, n2 = A2
joten
Liittäen mukaan erityisratkaisut saadaan täydelliset yhtälöt, joista ajankohtana t = 0 annettuja alkuarvoja käyttäen saadaan määräämättömät kertoimet Ai.
SaadaanA1 = 1 ja A2 = 2
joten aikaurat ovat
2.
Alkuehdot: x0 = 5 y0 = 4
Vastaus:
Asetetaan x = ja y = kaikilla t arvoilla. Ratkaistaan yhtälöryhmä. Saadaan = 6 ja = 3.
Matriisilaskelmia varten
ja siis erityisratkaisu
Cramer: = 1/3; 1 = 2; 2 = 1 antaa saman tuloksen.
Karakterisiset yhtälöt antavat

b1 = 1/2, b2 = 1/3
Merkiten tämän jälkeen: xt = m bt ja yt = n bt
jolloin: xt+1 = m bt+1 ja yt+1 = n bt+1
ja komplementtifunktiot ovat:
m bt+1 - m bt + 1/3 n bt = 0
m bt+1 + n bt+1 - 1/6 n bt = 0
Sijoittamalla tähän vuoron perään juuret b1 ja b2 saadaan muuttujien mi ja ni suhteet. Merkitsemällä sopivasti esim m1 ja n1 saadaan vastaavat Ai arvot
Saadaan:
m1 = 2 A1, n1 = - 3 A1, m2 = A2, n2 = - 2 A2
joten
Liittäen mukaan erityisratkaisut saadaan täydelliset yhtälöt, joista ajankoh- dan t = 0 alkuarvoja käyttäen saadaan määräämättömät kertoimet Ai.
SaadaanA1 = -1 ja A2 = 1
ja aikaurat
3.
Alkuehdot: x(0) = 13 y(0) = 4
Vastaus:
Erityisratkaisu:

Komplementtifunktio:

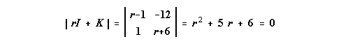
Yhtälöryhmän homogeeninen muoto on
J u + M v = 0
Tähän sijoittamalla saadaan

Lavennetaan tekijällä ert ja kootaan tekijät ja saadaan
Karakteristinen yhtälö, (tässä J:n asemesta I):

r1 = - 2, r2 = - 3
m1 = - 4 A1, n1 = A1, m2 = - 3 A2, n2 = A2
xc = - 4 A1 e2t - 3 A2 e3t
yc = A1 e2t + A2 e3t
Liittäen mukaan erityisratkaisut saadaan täydelliset yhtälöt, joista ajankohdan t = 0 alkuarvoja käyttäen saadaan määräämättömät kertoimet Ai.
x(0) = - 4 A1 e0 - 3 A2 e0 + 12 = 13
y(0) = A1 e0 + A2 e0 + 4 = 4
Saadaan A1 = - 1 ja A2 = 1
x(t) = 4 e2t - 3 e3t + 12
y(t) = - e2t + e3t + 4
4.
Alkuehdot: x(0) = 8 y(0) = 5
Vastaus:
Erityisratkaisu:
Cramer: = -1; = -7; = -8 antaa saman tuloksen.
Karakteristinen yhtälö:
r1 = 1, r2 = - 1
m1 = 3 A1, n1 = A1, m2 = A2, n2 = A2
Komplementtifunktiot:
xc = 3 A1 et + A2 et
yc = A1 et + A2 et
Sijoitus käyttäen ajankohdan t = 0 arvoja
x(0) = 3 A1 e0 + A2 e0 + 7 = 8
y(0) = A1 e0 + A2 e0 + 8 = 5
antaa A1 = 2, A2 = - 5
jolloin aikaurat ovat
x(t) = 6 et - 5 et + 7
y(t) = 2 et - 5 et + 8
5. Totea konvergenssi edellisissä.
Vastaus:
1. | bi | > 1 räjähtää
2. | bi | < 1 suppenee
3. Juuret ri < 0 suppenee
4. Toinen juuri r1 > 0 räjähtää