1. Differenssioperaattorin määritelmän mukaan, mitä ovat
a) delta t b)delta 2 t c) delta t3
Vertaa niitä vastaaviin derivoinnissa.
Vastaus:
a) delta t = (t + 1)
- t = 1 (myös:
)
b) delta 2 t = delta(delta
t) = delta 1 = 0 (myös:
)
c) delta t3 = (t + 1)3 - t3 = 3 t2 + 3 t + 1
(mutta:
!)
2. Etsi erityisratkaisut
a) yt+2 + 2 yt+1 + yt = 3t
b) 3 yt+2 + 9 yt = 3 (4)t
Vihje b): normalisoi ensin
Vastaus:
Oikean puolen termi on tyyppiä c mt. Ratkaisuna kokeillaan yt = B mt, jolloin yt+1 = B mt+1 ja yt+2 = B mt+2
a) c = 1, m = 3, a1 = 2, a2 = 1
B mt+2 + 2 B mt+1 + B mt = 3t
B (32 + 2 (3) + 1)3t = 3t
B = 1/16
[(17.16) mukaan]
b) Normalisoinnin jälkeen: c = 1, m = 4, a1 = 0, a2 = 3
B mt+2 + 3 B mt = 4t
B (42 + 3)4t = 4t
B = 1/19
3. Etsi erityisratkaisut
a) yt+2 - 2 yt+1 + 5 yt = t
b) yt+2 - 2 yt+1 + 5 yt = 4 + 2 t
Vastaus:
a) Koeratkaisu: yp = B0 + B1 t, josta
yt+1 = B0 + B1 (t + 1) = (B0 + B1) + B1 t
ja
yt+2 = B0 + B1 (t + 2) = (B0 + 2 B1) + B1 t
sijoitus yhtälöön yt+2 - 2 yt+1 + 5 yt = t antaa
4 B0 + 4 B1 t = t
siis tässä
4 B0 = 0 ja 4 B1 = 1
ja saadaan
B0 = 0 ja B1 = 1/4
b) Muuten sama kuin edellä paitsi muuttuva termi. Sijoitus antaa:
4 B0 + 4 B1 t = 4 + 2 t
siis
4 B0 = 4 B0 = 1
ja
4. Etsi komplementtifunktion karakteristiset juuret
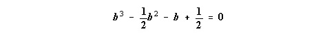
yt+3 - 1/2 yt+2 - yt+1 + 1/2 yt = 0
Vastaus:
Karakteristinen yhtälö:

eli
(b -
)
(b2 - 1) = (b -
)
(b + 1) (b - 1)
juuret:
,
- 1, 1
yc = A1 (
)t
+ A2 (- 1)t + A3
5. Tutki konvergenssi Schurin teoreeman avulla yhtälöstä
yt+2 + 1/2 yt+1 - 1/2 yt = 3
Vastaus:
Homogeeninen versio, jonka parametrit ovat
a0 = 1, a1 = 1/2, a2 = -1/2

mutta
siis: ei konvergoi, delta2 ei ole suurempi kuin 0