Malli o Esimerkki 1
1. Eksogenisoidaan
inflaatio-työttömyys mallissa
2. Tekstissä inflaatio-työttömyysmalli
3. Korvataan
adaptiivisten odotusten hypoteesi
4. Palataan esimerkkiin
1. Säilytetään yhtälöt
p = a - T - b U + h p* (0 < h 1) (15.33)
dp*/dt = j (p - p*) (0 < j 1) (15.34)
dU/dt = - k (m - p) (k > 0) (15.35)
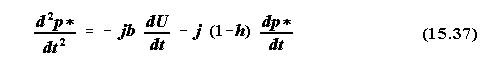
1. Eksogenisoidaan inflaatio-työttömyys mallissa muuttuja U. Mallista siis poistetaan yhtälö (15.35).
a) Millainen differentiaaliyhtälö syntyy?
Vastaus:
Silloin dU/dt = 0 ja lausekkeen

oikean puolen ensimmäinen termi häviää.
Saadaan (15.37) uusi versio:

Tämä supistuu tekijällä dp*/dt jakaen ja termejä siirrellen (15.34) tulee muotoon
dp*/dt = - j (1 - h)
b) Montako karakteristista juurta saadaan? Onko nyt mahdollista aaltoilu komplementtifunktiossa?
Vastaus:
Ei kompleksijuuria, ei aaltoilua.
2. Tekstissä inflaatio-työttömyysmalli tiivistettiin muuttujan p* differentiaaliyhtälöksi. Osoita, että malli voidaan yhtä hyvin tiivistää toisen kertaluvun differentiaaliyhtälöksi muuttujan U suhteen ja että silloin kertoimet a1 ja a2 ovat samat kuin yhtälössä (15.37''), mutta että vakiotermi on erilainen.
Vastaus:
Derivoidaan ajan suhteen (15.33) ja saadaan

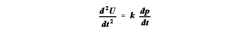
Samoin derivoidaan (15.35) ja saadaan

Kun edellinen sijoitetaan tähän, saadaan (15.34) käyttäen

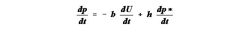
Muuttujista p ja p* irti pääsemiseksi auttaa havainto, että (15.35) mukaan todellisten hintojen riippuvuus työttömyys-asteen muutoksesta ja rahan tarjonnasta on:
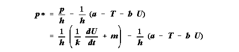
Seuraavaksi ratkaistaan (15.33) muuttujan p* suhteen. Saadaan, kun näin saatavaan lausekkeeseen sijoitetaan juuri saatu lauseke (15.35')

Näin saadut vain muuttujaa U sisältävät muuttujien p ja p* lausekkeet sijoitetaan työttömyysasteen toisen derivaatan lausekkeeseen ja saadaan

Eroa tekstissä johdettuun inflaatio-odotusten yhtälöön on siis vain vakiotermissä b (Tässä: j k [a - T - (1-h) m], mutta edellä inflaatio-odotusten yhtälössä jkbm).
3. Korvataan adaptiivisten odotusten hypoteesi (15.34) 'täydellisen ennakkotietämyksen' hypoteesilla p* = p, mutta pidetään voimassa relaatiot (15.33) ja (15.35).
a) Johda differentiaaliyhtälö muuttujalle p.
Vastaus:
Yhtälöstä (15.33) saadaan hintayhtälön aikaderivaatta

Tähän voidaan nyt sijoittaa yhtälö (15.35). Kun pidetään mielessä, että (15.34) antaa inflaatio-odotusten muutokseksi nollan,
dp*/dt = j (p - p*) = 0 [p - p* = 0] (15.34)
saadaan
dp/dt = b k (m - p)
Sijoittamalla yhtälöön (15.33) yhtälösstä (15.35) saatava työttömyyden aikaderivaatta dU/dt saadaan lopputulos
dp/dt + (b k) p = b k m
b) Johda differentiaaliyhtälö muuttujalle U.
Vastaus:
Yhtälöstä (15.33) saadaan silloin (= olettaen: p = p*)
p = (a - T - b U)/(1 - h) (15.33'')
Sijoittamalla tämä yhtälöön (15.35) saadaan

c) Millä tavoin yhtälöt kohdissa a) ja b) eroavat adaptiivisten odotusten hypoteesin mukaisista selvästi.
Vastaus:
Molemmat ovat ensimmäisen kertaluvun differentiaali-yhtälöitä.
d) Millä parametrirajoituksella uudet differentiaaliyhtälöt saadaan mielekkäiksi?
Vastaus:
h <>1
p = 1/6 - 3 U + p* (15.40)
dp*/dt = 3/4 (p - p*) (15.41)
dU/dt = - 1/2 (m - p) (15.42)
4. Palataan esimerkkiin 1. Säilytetään yhtälöt (15.41) ja (15.42), mutta korvataan yhtälö (15.40) yhtälöllä
p = 1/6 - 3 U + 1/3 p*
a) Määritä aikaurat p(t), p*(t) ja U(t).
Vastaus:
Yhtälön kertoimista saadaan parametrien arvot b = 3, h = 1/3, (j = 3/4 ja k = 1/2, kuten ennenkin). Yhtälön (15.37'') mukaan taas saadaan
a1 = b k + j (1 - h) = 2
a2 = j b k = 9/8 ja
b = j b k m = 9/8 m
Erityisratkaisu on b/a2 = m.
Tässä tapauksessa edelleen (4 = a12) < (4 a2= 4,5) ja karakteristiset juuret ovat kompleksiset:

Tämä merkitsee, että h = - 1 ja
.
Vastaavasti inflaatio-odotusten yleinen ratkaisu on
Tästä voidaan johtaa myös muuttujien U ja p aikaurat. Lausekkeen (15.41) mukaan p voidaan ilmaista termein, jotka sisältävät ilmaukset p* ja dp*/dt käyttäen yhtälöä
p = 4/3 dp*/dt + p*
Aikaura p* ratkaisussa (15.43) voidaan derivoida. Saadaan
dp*/dt = - e-t (A5 cos
t + A6 sin
t)
+ e-t (-
A5
sin
t +
A6 cos
t)
[ tulosäännön ja ketjusäännön avulla ]
Käyttäen hyväksi ratkaisua (15.43) ja sen derivaattaa, saamme
p(t) = 1/3 e-t
[(
A6
- A5) cos
t +(
A5 + A6) sin
t)]
+ m (15.44)
Kuten odotetun myös tämä todellisen inflaation aikaura aaltoilee vaimentuen tasapainoarvon m ympärillä.
Työttömyysasteen U aikaura:
yhtälöstä (15.40) nähdään, että se voidaan ilmaista muuttujien p* ja p avulla:
U = 1/9 (p* - 1/3 p) + 1/18
Ratkaisujen (15.43) ja (15.44) perusteella voimme kirjoittaa työttömyysasteen aikauran
U(t) = 1/9 e-t [(2A5 -
A6) cos
t
+ (
A5
+ 2 A6) sin
t]
+ 1/18 - 2/9 m
Tämäkin aikaura merkitsee vaimenevaa aaltoilua, mutta alkuperäisestä esimerkistä poiketen dynaamista työttömyysasteen U aikauran tasapainoarvoa 1/18 - 2/9 m.
Eli luvun viimeisessä lauseessa esitetty salaperäinen parametri on yhtälön (15.33) parametri h. Kun sen arvo muuttui ykkösestä luvuksi 1/3, työttömyyden tasapaino tuli riippumaan reaalisen rahan tarjonnan muutosnopeudesta. Keskuspankki voi siis sittenkin vaikuttaa työttömyyteen: mitä enemmän reaalista rahan tarjontaa, sitä pienempi työttömyys.
b) Aaltoilevatko aikaurat vieläkin? Konvergoivatko?
p(t) = 1/3 e-t
[(
A6
- A5) cos
t +(
A5 + A6) sin
t)]
+ m (15.44)
U(t) = 1/9 e-t [(2A5 -
A6) cos
t
+ (
A5
+ 2 A6) sin
t]
+ 1/18 - 2/9 m
Vastaus:
Kyllä, koska sulkulausekkeessa sini ja cosini. Kyllä, koska eksponentti negatiivinen.
c) Mitkä ovat muuttujien p ja U aikaurien tasapainot?
Vastaus:
p = m; U = 1/18 - 2/9 m
d) Pitääkö vieläkin paikkansa, että tasapainoarvot ovat funktionaalisesti toisistaan riippumattomia?
Vastaus:
Ei. Niiden välillä vallitsee lineaarinen riippuvuus.
Pitkän tähtäyksen Phillips käyrä ei enää olekaan pystysuora.
Asko Korpela 971111 (971111) o Asko.Korpela@kolumbus.fi (palaute)
[ccc]