Tehtävä 1 o Tehtävä 2 o Tehtävä 3 o Tehtävä 4
1. Oletetaan Domarin mallissa (t) = a t ja s(t) = b t
Mikä on silloin investointifunktio I(t)?
Mikä on pääomanmuodostuksen kasvuvauhti?
Vastaus:
kerrotaan molemmat puolet tekijällä
saadaan
vasen:
oikea: s(t) (t) dt
Integroidaan:
vasen:
oikea:
Saadaan:
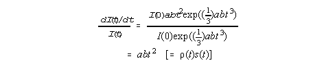
Investointifunktio on siis:
Kasvuvauhti eli investointien suhteellinen muutos ajassa on tämän "suhteellinen aikaderivaatta"

2. Mikä on pääomanmuodostuksen aikaura, jos
a) = t1/2 s = 0.3 b) = a t1/2 s = b t1/2
Vastaus:
a)
Investointifunktio on silloin: I(t) = I(0) exp(0.2 t3/2)
b)
Investointifunktio on silloin:
3. Jaa Solowin mallin perusyhtälössä (14.30) molemmat puolet tekijällä k. Tulkitse tulos muuttujien k, K ja L kasvunopeuksina.
Vihje: ks (14.25) ja (14.26)
Vastaus:
= työpanoksen L kasvunopeus
Tulkinta:
Pääomapanoksen ja työpanoksen suhteen K/L kasvunopeus
= pääomapanoksen K kasvunopeus
- työpanoksen L kasvunopeus
4. Osoita, että jos pääoma kasvaa nopeudella , eli K = A et, myös investoinnit kasvavat nopeudella .
Vastaus:
joten myös pääomanmuodostuksen I kasvunopeus on .