H08 Tuotantofunktio ja kustannusminimi
1. Osoita kohtien a)-d) paikkansapitävyys lauseiden (12.46) ja (12.50) perusteella olettaen, että skaalatuotot ovat vakio.
a) APPL voidaan piirtää riippumattomana muuttujana k (= K/L) akseliin nähden.
Vastaus: OM1 s. 2 (12.46)
APPL = (k) (= Q/L)
Tässä siis: argumentti on k ja funktio on APPL.
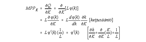
b) MPPK voidaan ilmaista APPL käyrän kulmakertoimena.
Vastaus: OM2 s. 2 (12.50)

c) APPK voidaan ilmaista APPL käyrän kulmakertoimena.
Vastaus: OM1 s. 2 (12.46)
d) MPPK = APPL - k(MPPK) = APPL - k(APPL kulmakerroin).
Vastaus: OM2 s. 2 (12.49)
MPPL = (k) - k'(k) = APPL - k MPPK
2. Oletetaan Q = AK L. Osoita, että
a) + > 1 merkitsee suurtuotannon etuja (= kasvavia skaalatuottoja).
Vastaus:
Jos + > 1, suurtuotannon edut ovat voimassa, koska funktion arvo enemmän kuin k-kertaistuu, jos L ja K kerrotaan luvulla k.
b) + < 1 merkitsee alenevia skaalatuottoja.
Vastaus:
Jos + < 1, alenevat skaalatuotot samasta syystä kuin edellä.
ESIM.
K = 2 L = 3 A = 1 k = 2
a) = 0.3 = 0.8 => = 1.1
Q0 = 20.3 30.8 =
Q1 = (2x2)0.3 (2x3)0.8 = = 21.1 Q0 (21.1 > 2 )
b) = 0.3 = 0.6 => = 0.9
Q0 = 20.3 30.6 =
Q1 = (2x2)0.3 (2x3)0.6 = = 20.9 Q0 (20.9 < 2)
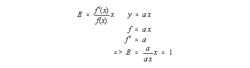
3. Jos Cobb-Douglas tuotantofunktiossa suhde / esitetään suhteen Pa/Pb funktiona (piirrä käyrä), millainen kuvio saadaan? Riippuuko tulos olettamuksesta + = 1? Miten tästä käyrästä luetaan korvausjousto?
Vastaus:
Koska (/) = (/) (Pa/Pb), kuvio on suora, joka kulkee origon kautta. Ei riipu siitä, onko + = 1. Korvausjousto on tämän suoran jousto. Origon kautta kulkevan suoran jousto on aina E = 1.
4. Mitä merkitsee samakustannussuorien samansuuntaisuus?
Vastaus:
Rahankäytön lisäystä, hintasuhde säilyy ennallaan.
Kansantalouden kurssit o AJK kotisivu
Asko Korpela, kansantaloustieteen lehtori, Helsingin kauppakorkeakoulu
Asko.Korpela@kolumbus.fi (palaute Asko Korpelalle) o salo@hkkk.fi (palaute Seppo Salolle)
Asko Korpela 970930 (970930)
[ccc]