2 Kansantalouden malli

1 Mallin rakenne ja teoria
2 Tasapainoratkaisu
3 Komparatiivinen statiikka
4 Menetelmän ydin
#H02 Kansantalouden malli

Tässa luvussa tarkastellaan Hicksin ISLM mallin komparatiivista statiikkaa.


AJK kotisivu  o  AJK opetus  o  Optimointi ja dynamiikka  o Palaute: Asko.Korpela@kolumbus.fi    (palaute AJKlle)

2.1 Mallin rakenne ja teoria

Hicks J.R.:

"Mr Keynes and the 'Classics': A Suggested Interpretation."
Econometrica, Apr 1937, pp. 147­59.

Hyödykemarkkinat:

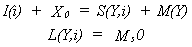
I = I(i) I' < 0 Pääomanmuodostus
S = S(Y,i) 0 < SY < 1, Si > 0 Säästäminen  
M = M(Y) 0 < M' < 1 Tuonti
X = X0 Vienti

Rahamarkkinat:

Md = L(Y,i) LY > 0, Li < 0 Rahan kysyntä
Ms = Ms0 Rahan tarjonta

Tasapaino:
I + X = S + M
Md = Ms

Sijoittamalla rakennemuodon yhtälöt tasapainoehtoihin saadaan mallin redusoitu muoto.





I = I(i) I' < 0
S = S(Y,i) 0 < SY < 1, Si > 0
M = M(Y) 0 < M' < 1
X = X0
Md = L(Y,i) LY > 0, Li < 0

Ms = Ms0

#2 Kansantalouden malli
#2.1 Mallin rakenne ja teoria
#Hyödykemarkkinat: o #Rahamarkkinat: o #Tasapaino:


2.2 Tasapainoratkaisu 

Ratkaisu: Endo = f(Ekso,Para)

Yleinen funktiomuoto

Y = (X0 ,Ms0)
i = (X0 ,Ms0)

Komparatiivinen statiikka





Kuviossa K2.2 on esitetty viennin X0 suorat ja epäsuorat vaikutukset. Viennillä on S ja L funktioihin kaksi vaikutusta, vaikutus sekä koron että tulojen kautta.

Samalla tavoin voitaisiin esittää myös rahan tarjonnan Ms0 vaikutukset.

Implisiittifunktiokäsittelyä varten ISLM malli voidaan kirjoittaa myös muotoon



#2 Kansantalouden malli o #2.2 Tasapainoratkaisu o #Yleinen funktiomuoto

2.3 Komparatiivinen statiikka 

#2 Kansantalouden malli
#2.3.1 Kokonaisderivaatta o #2.3.2 ISLM mallin kokonaisdifferentiaali

       Suorat Derivaatta 
KAIKKI                   MUUTOKSET 
     Epäsuorat Ketjusääntö 

2.3.1 Kokonaisderivaatta

Tapaus 1: kokonaisdifferentiaali



jaetaan differentiaalilla dx1, jolloin saadaan kokonaisderivaatta (ketjusääntö)



Tapaus 2: x1 ja x2 riippuvat kolmannesta w





Esim: tuotantofunktio ja aika

Tapaus 3: x1 ja x2 riippuvat kahdesta muusta u ja v



osittainen kokonaisderivaatta



#2 Kansantalouden malli
#2.3 Komparatiivinen statiikka
#2.3.1 Kokonaisderivaatta o #2.3.2 ISLM mallin kokonaisdifferentiaali

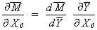
2.3.2 ISLM mallin kokonaisdifferentiaali

Palaamme ISLM malliin (8.38').



Muodostamme siitä kaikki osittaisderivaatat muuttujien Y ja i suhteen



ja niistä edelleen Jacobin determinantin (ks C3­7.6, pp 184­6). Saamme





Emme voi ratkaista lausekkeesta (8.38') eksplisiittisesti tai , implisiittinen ratkaisu on



mutta voimme kirjoittaa sen tasapainon lähellä muotoon



Olettamalla differentiaali rahan tarjonnan dMs0 suhteen nollaksi, vienti X0 on ainoa muutoksia aiheuttava tekijä. Muodostetaan lausekkeesta (8.38') kokonaisdifferentiaali viennin X vaikutusten selvittämiseksi.



Tuntemattomia ovat nyt siis viennin muutoksesta johtuvat kansantulon ja koron muutokset eli osittaisderivaatat ja Näistä tuntemattomista, niiden kertoimista ja yhtälöihin mahdollisesti muodostuvista vakioista muodostuu kahden yhtälön ryhmä, josta tuntemattomat voidaan ratkaista



Derivaatat SY, M' ja LY pisteessä Y = Y
                 Si
, I' ja Li                   i = i

Tässä ei merkitystä, missä pisteessä, koska funktiot ovat lineaarisia.

#2 Kansantalouden malli
#2.3 Komparatiivinen statiikka
#2.3.1 Kokonaisderivaatta o #2.3.2 ISLM mallin kokonaisdifferentiaali


Ekskursio matriisialgebraan 3 ed. pp 54­124

(4.17) Ax = d
(4.18) x = A­1 d

Cramerin sääntö 3 ed. pp 107­110


D = - Li (SY + M') ­ LY (I' - Si)

D > 0, koska Li < 0 LY > 0

SY > 0 Si > 0

M' > 0 I' < 0

1. termi > 0, 2. termi > 0

Viennin vaikutukset
= kaksi komparatiivisstaattista derivaattaa



Johtopäätökset:

  • 1. Kansantulo kasvaa, kun vienti kasvaa.
  • 2. Korko nousee, kun vienti kasvaa.
  • on vientimultiplier, viennin sysäysvaste

    Ketjusäännön avulla voidaan selvittää myös esim. viennin vaikutus tuontiin. Ensin viennin vaikutus kansantuloon, sitten kansantulon vaikutus tuontiin.



    Vienti kasvattaa tuontia, koska d/dY > 0

    Samoin viennin vaikutus investointeihin

    Samalla tavoin saadaan kaikki rahan tarjonnan vaikutukset.

    #2 Kansantalouden malli  
    #2.3 Komparatiivinen statiikka  o   #2.3.1 Kokonaisderivaatta  o #2.3.2 ISLM mallin kokonaisdifferentiaali
    #Ekskursio matriisialgebraan  o   #Cramerin sääntö  
    #Johtopäätökset:


    2.4 Menetelmän ydin

  • 1. Sijoita yhtälöt tasapainoehtoon.
  • 2. Muodosta kokonaisdifferentiaali.
  • 3. Ratkaise tarvittavat komparatiivisstaattiset derivaatat.
  • 4. Suorita kvalitatiivinen arviointi ottaen huomioon teorian mukaiset etumerkkien (ja suuruuden) rajoitukset.
  • #2 Kansantalouden malli

    H02 Kansantalouden malli

    1. Selvitä sivulla 1 esitetyn Hicksin mallin komparatiivisstaattiset derivaatat ja , siis rahapolitiikan vaikutukset. Mihin suuntaan muutokset vaikuttavat?

    2. Oletetaan, että sivun 1 mallissa osittaisderivaatan Li rajoitus muuttuu: #Vihje:

          < 0, kun i > 2 %
    Li
          6 ­ 4, kun i 6 2%+

    a) Miten tulkitset talousteorian kannalta tapauksen

    Li --> ­ oo, kun i --> 2%+

    b) Selvitä uudelleen osittaisderivaattojen ja arvot uusien rajoitusten vallitessa.

    Vihje:

    3. Oletetaan redusoitu kansantalouden malli



    a) Mikä tässä on rahan kokonaiskysyntä Md?

    b) Analysoi tämän mallin komparatiivista statiikkaa, jos rahan tarjonta (= rahapolitiikka) muuttuu ja julkinen kulutus (= finanssipolitiikka) muuttuu.

    2 Kansantalouden malli  
    2.1 Mallin rakenne ja teoria  o  2.2 Tasapainoratkaisu  
    2.3 Komparatiivinen statiikka  o 2.4 Menetelmän ydin
    H02 Kansantalouden malli


    AJK kotisivu  o   AJK opetus  o  Optimointi ja dynamiikka

    Asko Korpela, kansantaloustieteen lehtori, Helsingin kauppakorkeakoulu

    Asko.Korpela@kolumbus.fi    (palaute AJKlle)

    Asko Korpela 961129 (960929)

    [ccc]