1. Olkoot erään hyödykkeen kysyntä ja tarjonta

missä t0 kuvaa kuluttajien makutottumuksia ja missä molemmat osittaisderivaatat ovat jatkuvia.
a) Kirjoita tasapainoehto yhtenä yhtälönä.
b) Voidaanko implisiittifunktiolausetta soveltaa?
c) Miten tasapainohinta vaihtelee kuluttajien makutottumusten suhteen?
Vastaus:
a) F(P; t0,Qs0) = D(P,t0) -
Qs0 = 0
b) Implisiittifunktiolausetta voidaan soveltaa, koska funktion F kaikki osittaisderivaatat ovat jatkuvia ja
![]()
c) Komparatiivisstaattisen osittaisderivaatan
löytämiseksi
sovelletaan implisiittifunktiolausetta tasapainoidentiteettiin
saadaan
eli kuluttajien makutottumuksia kuvaavan muuttujan kasvaminen korottaa tasapainohintaa.
2. Selvitä Hicksin mallin komparatiivisstaattiset derivaatat
siis rahapolitiikan vaikutukset. Mikä on vaikutusten suunta?
Vastaus:
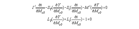
Muodostetaan kokonaisdifferentiaalit rahan tarjonnan Ms0 suhteen

Tuntemattomien komparatiivisstaattisten osittaisderivaattojen
ja
ratkaisemiseksi muodostetaan matriisiyhtälö

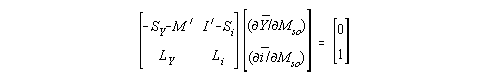
Tämän yhtälön kerroinmatriisista muodostetaan Jacobin determinatti (sama kuin tekstissä sivulla 5).
J = - Li (SY + M') + LY (I' - Si) = (> 0)
Yhtälöryhmä ratkaistaan Cramerin sääntöä käyttäen. Saamme komparatiivisstaattiset derivaatat:

Johtopäätökset:
1. Kansantulo kasvaa, kun rahan tarjonta kasvaa.
2. Korko alenee, kun rahan tarjonta kasvaa.
3. Oletetaan, että sivun 1 mallissa osittaisderivaatan Li rajoitus muuttuu:
Li < 0 kun i > 2 %
Li -> -oo, kun i -> 2%+
a) Miten tulkitset talousteorian kannalta tapauksen
Li -> -oo, kun i 2%+
Vastaus:
Koron lähestyessä tiettyä minimiä (korkeampien arvojen puolelta) tullaan tilanteeseen (liquidity trap), jossa talous-yksiköiden mielestä raha kannattaa pitää kokonaan likvidinä. Täysin joustava rahan kysyntä.
b) Selvitä uudelleen osittaisderivaattojen
ja
arvot uusien rajoitusten vallitessa.
Vihje:
Kun Li esiintyy sekä osoittajassa että nimittäjässä (), osamäärä on ensin 'muokattava' muotoon, jossa se esiintyy vain jommassa kummassa. Miksi?
Vastaus:
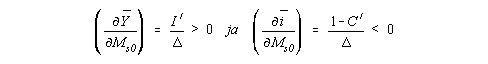
Muodostetaan osittaisderivaatat, kootaan suorat ja välilliset vaikutukset.
jaetaan osoittaja ja nimittäjä osittaisderivaatalla Li
> 0 kun i > 2 %
->1/(SY + M'), kun i 2 %+
sillä
Li -> -oo, kun i 2 %+
Silloin
LY (Si - I')/Li ->0-
ja
- LY (Si - I')/Li 0+
> 0 kun i > 2 %
->0, kun i ->2 %+
4. Oletetaan redusoitu kansantalouden malli

a) Mikä tässä on rahan kokonaiskysyntä Md?
b) Analysoi tämän mallin komparatiivista statiikkaa, jos rahan tarjonta (= rahapolitiikka) muuttuu ja julkinen kulutus (= finanssipolitiikka) muuttuu.
Vastaus
a) Rahan kysyntä: Md = k Y + L(i)
b) Tasapainoidentiteetit:

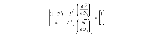
Kokonaisdifferentiaali Ms0 suhteen antaa:

Merkiten L'(1-C') + k I' < 0, saamme

Johtopäätös: Rahapolitiikassa rahan tarjonnan lisäys
kasvattaa bruttokansantuotosta ja
alentaa tasapainokorkoa.
Seuraavaksi differentiaalit G0 suhteen antaa

Saamme

Johtopäätös: Finanssipolitiikassa julkisen kulutuksen lisäys
Asko Korpela 970909 (970909)
[ccc]