Tällä sivulla on käyty [ccc] kertaa
1. välikuulustelu ma 97-10-27. Käsittele viisi tehtävää.
Vastauspaperi 1: Salon kysymykset 1-3
Vastauspaperi 2: Korpelan kysymykset 4-6
(Salon kysymykset: )
Korpelan kysymykset:
4. Johda Hicksin ISLM mallin
5. Johda rajakustannukset
ja kustannusten jousto
6. Oletetaan
Domarin mallissa (t) = a t ja s(t) =
komparatiivisstaattiset derivaatat
siis rahapolitiikan vaikutukset. Mikä on vaikutusten suunta?
Vastaus:
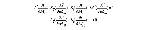
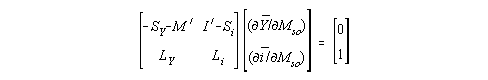
Muodostetaan kokonaisdifferentiaalit rahan tarjonnan Ms0 suhteen

Tuntemattomien osittaisderivaattojen
ja
ratkaisemiseksi
muodostetaan matriisiyhtälö

Tämän yhtälön kerroinmatriisista muodostetaan Jacobin determinatti (sama kuin tekstissä sivulla 5).
J = - Li (SY + M') - LY (I' - Si) = (> 0)
Yhtälöryhmä ratkaistaan Cramerin sääntöä käyttäen. Saamme komparatiivisstaattiset derivaatat:

Johtopäätökset:
1. Kansantulo kasvaa, kun rahan tarjonta kasvaa.
2. Korko alenee, kun rahan tarjonta kasvaa.
5. Johda rajakustannukset ja kustannusten jousto määrän suhteen, jos kustannusfunktio on
C = f(Q)
C = yksikkökustannukset
Q = tuotannon määrä
Vastaus
Kokonaiskustannukset:TC = Q C = Q f(Q)
Rajakustannukset: MC = TC' = f(Q) + Q f'(Q)
Jousto:

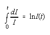
6. Oletetaan Domarin mallissa (t) = a t ja s(t) = b t
Mikä on silloin investointifunktio I(t)?
Mikä on pääomanmuodostuksen kasvuvauhti?
Vastaus:
kerrotaan molemmat puolet tekijällä
saadaan
vasen:
oikea: s(t) (t) dt
Integroidaan:
vasen:
oikea:
Saadaan:
Investointifunktio on siis:
Kasvuvauhti eli investointien suhteellinen muutos ajassa on tämän "suhteellinen aikaderivaatta"
OptDyn kotisivu o AJK kotisivu
Asko Korpela, kansantaloustieteen lehtori, Helsingin kauppakorkeakoulu
Asko.Korpela@kolumbus.fi (palaute AJKlle)
Asko Korpela 971125 (971125)